
#训练营#基于GD32的简易示波器
简介
本项目是跟随立创EDA于24年3月制作的简易示波器,输入端口1个,能发出特定的PWM波(可调幅值、频率、占空比)。可测交流、直流,原始可测-3.3V-3.3V,放大可测-16.5V-16.5V。
简介:本项目是跟随立创EDA于24年3月制作的简易示波器,输入端口1个,能发出特定的PWM波(可调幅值、频率、占空比)。可测交流、直流,原始可测-3.3V-3.3V,放大可测-16.5V-16.5V。开源协议
:GPL 3.0
(未经作者授权,禁止转载)描述
简易示波器
1、简易说明
该示波器主要目的为了学习相关知识,实用价值较低。主要分为两方面,硬件方面可大致学习:模电中的放大电路、比较电路、了解A/D的转换过程,5V转-5V的电源部分;软件方面:学习旋转编码器、显示屏、A/D的编程,了解中断、优先级、串口通信等通用编程知识。
2、硬件设计电路及原理图
2.1 电源部分
电源部分主要是TYPE—C进行5V供电,然后利用XD7660将5V转为-5V,用于给运算放大器供电。电路图如下:

说明:输出-5V后加的二极管的作用不是太确定,看群友说是防止反向电流了,这个最好选肖特基二极管,这种二极管压降较小。
其中GD32开发板自身有5V-3.3的降压输出,用于给主控芯片、显示屏等供电。由于转化后的3.3V相比于直接Type-C输入的5V更加稳定,故后面给运算放大器正端供电采用的是3.3V分压供电。
2.2 模拟电路(运算放大电路和比较电路)
2.2.1 运算放大电路

说明:此处需要注意电容C10和C11的选取,耐压值要满足最大的输入电压。
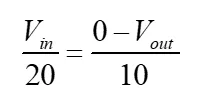
对输入信号初步判断后,让其通过一个电压跟随器,目前是减小输出阻抗;然后进入放大电路,电路图如下:

将输入信号接放大器的输入负端,正端接分压后的1.1V。由于存在负反馈,故可以利用虚短和虚断来计算。
当输入正端接地时,根据虚短V-=V+=0,又由于虚断,即

故Vout1=-Vin/2。
当输入负端接地时,根据虚短V-=V+=3.3/3,即1.1V,再由于虚断,即

故Vout2=3.3/2.
即总的Vout=(3.3-Vin)/2,当输出0V,可推测输入3.3V;当输出3.3V时,可推测输入-3.3V,故可测范围为-3.3V-3.3V,将信号缩小5倍,可测的范围为-16.5V-16.5V。
2.2.2 比较测频电路
比较测频电路作用就是利用比较器将输入信号转变为方波。然后靠编程输入捕获来计算所得的频率。一般的比较器会将输入端的一个电压值固定,其工作原理为:当正端电压高于负端电压时,输出端表现为高电平;当正端电压低于负端电压时,输出端表现为低电平。具体原理图如下:

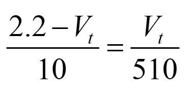
本次训练营采用的是LM393芯片,有两组输入端口,两组输出端口(仅用到一组),但是在此基础上加入正反馈,故能形成迟滞比较器,有两个阈值电压,以下是计算分析:
先假设要输出为高电平,即3.3V,根据虚断可得:

得Vt1=2.2211V
再假设要输出为低电平,即0V,根据虚断可得:

得Vt2=2.157V
说明:此处LM393输入电源与输出上拉共用3.3V,这个最好不要5V接入,因为这个会输入到开发板管脚,不太清楚这个能否承受的住。可以输入电源为5V,但是输出端上拉为3.3V,这样输入开发板的管脚。
2.3原理图
整体原理图见后面。
2.4PCB及3D外壳设计说明
3、软件说明
这个软件编程个人感觉有点复杂,例如输出一个PWM波需要约50行代码来实现,尽管大多数调库函数实现,但还是有点吃惊。主要用到的有定时器、输出PWM波、中断、串口打印、输入捕获、旋转编码器、显示屏显示等代码编程,不是太精通这个,只是照猫画虎跟着敲了一次,目前卡到这个输入捕获,测试频率上了。这个就不多写了,感兴趣的还是推荐看官方出的编程文档吧,具体链接如下:
4、实物展示说明


设计图
未生成预览图,请在编辑器重新保存一次BOM
暂无BOM
克隆工程知识产权声明&复刻说明
本项目为开源硬件项目,其相关的知识产权归创作者所有。创作者在本平台上传该硬件项目仅供平台用户用于学习交流及研究,不包括任何商业性使用,请勿用于商业售卖或其他盈利性的用途;如您认为本项目涉嫌侵犯了您的相关权益,请点击上方“侵权投诉”按钮,我们将按照嘉立创《侵权投诉与申诉规则》进行处理。
请在进行项目复刻时自行验证电路的可行性,并自行辨别该项目是否对您适用。您对复刻项目的任何后果负责,无论何种情况,本平台将不对您在复刻项目时,遇到的任何因开源项目电路设计问题所导致的直接、间接等损害负责。


评论