
【南京邮电校赛】三级放大电路
简介
Ib的变化被放大后,导致了Ic很大的变化。如果集电极电流Ic是流过一个电阻R的,那么根据电压计算公式U=R*I可以算得,我们将这个电阻上的电压取出来,就得到了放大后的电压信号了。
简介:Ib的变化被放大后,导致了Ic很大的变化。如果集电极电流Ic是流过一个电阻R的,那么根据电压计算公式U=R*I可以算得,我们将这个电阻上的电压取出来,就得到了放大后的电压信号了。开源协议
:Public Domain
描述
题目要求:实现峰峰值为20mv的小信号的放大,要求放大峰峰值大于2V,并且无明显失真。
获奖信息:校级一等奖。
队伍信息:白瑞昕、丛志刚、陈天豪
指导老师:郝学元、薛梅
2019年全国大学生电子设计竞赛设计报告
一、 设计内容摘要
设计并制作一个放大器非线性失真研究装置,晶体管放大器只允许有一个输入端口和一个输出端口,并且能够分别输出无明显失真的正弦电压、“顶部失真”的电压、“底部失真”的电压、“双向失真”的电压、“交越失真”的电压,能够测量并显示五种输出电压的总谐波失真。
二、 工作原理及电路设计
1、共射放大电路
为实现对小信号的100倍放大,我们采用两级晶体管共射放大电路,并且级间耦合采用阻容耦合的方式,如图2-1所示:

图2-1 两级共射放大电路
设计的突出之处在于在高频和低频条件下射级电阻的变化,我们知道射级电阻对于共射放大电路的影响在于有射级电阻的共射放大器的放大倍数会大大减小,带有射级电阻的共射放大电路放大倍数为:

(2.1)
在低频条件下,电解电容 、 开路,射级电阻变大,低频放大倍数减小,使得低频条件下失真大大减小;而在高频条件下, 、 导通,射级电阻减小,放大倍数大大增加,而在高频条件下输出信号的失真非常小,从而实现了高低频的转换。
电路在Multisim中的仿真波形如下图2-2所示:

图2-2 共射放大电路输出波形
图2-3所示是输出波形的总谐波失真测量:

图2-3 失真分析
可以看出失真非常小,在人眼可分辨范围之外,并且放大倍数也达到要求。
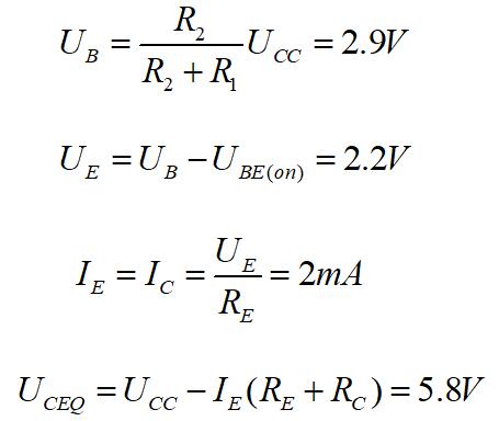
第一级共射电路静态工作点的理论计算如下:

可以看出静态工作点很理想。
第二级共射电路的静态工作点同理,在此不再赘述。
2、失真电路
失真电路的设计如下图2-4所示:

图2-4 失真电路
从图中可以看出,顶部失真和底部失真以及交越失真都采用二极管产生,利用二极管正向具有导通压降、反向电阻趋近于无穷的性质,可以采用二极管滤波,进而产生失真。
3、继电器开关电路
如图2-5所示,使用三极管作为单片机的驱动,单片机引脚输出3.3V的电压信号,通过电阻分压使得三极管的 达到0.7V的开启电压,使得二极管导通,万用表的两端接继电器的两端,由此可以实现当单片机输出高电平时开关电路导通。

图2-5 继电器开关电路
三、系统软件设计分析
整个系统的流程图如图3-1所示:

图3-1 系统流程图
设计图
未生成预览图,请在编辑器重新保存一次BOM
暂无BOM
克隆工程知识产权声明&复刻说明
本项目为开源硬件项目,其相关的知识产权归创作者所有。创作者在本平台上传该硬件项目仅供平台用户用于学习交流及研究,不包括任何商业性使用,请勿用于商业售卖或其他盈利性的用途;如您认为本项目涉嫌侵犯了您的相关权益,请点击上方“侵权投诉”按钮,我们将按照嘉立创《侵权投诉与申诉规则》进行处理。
请在进行项目复刻时自行验证电路的可行性,并自行辨别该项目是否对您适用。您对复刻项目的任何后果负责,无论何种情况,本平台将不对您在复刻项目时,遇到的任何因开源项目电路设计问题所导致的直接、间接等损害负责。


评论